- Home
- 近代的法制度の形成 ~日本近代化の基礎~
近代的法制度の形成 ~日本近代化の基礎~
※印の画像はクリックで拡大します。
開国と近代的法制度の整備
1853年の開国以来、不平等条約の改正と富国強兵を至上命題とした日本は、早期の近代化を果たすため、急ピッチで欧米式の法制度を整備する必要に迫られました。国際的には、欧米諸国から構成される国際社会に一刻も早く仲間入りするため、日本は国際法の秩序に組み込まれることが求められました。他方で、国内的には、フランス革命以来、国家による人権侵害の防止に重点を置いて設計されてきた欧米式の法制度が、それまでの日本の法的な枠組みと大きく異なっていたため、国家権力の行使に制限を加え、国民の権利を保障することを旨とした、まったく新しい国内法の法体系が必要とされました。アジ歴の資料から、日本の近代化の過程でのこのような近代的な法制度の確立の歩みをたどります。
国内法の整備―憲法の制定
-
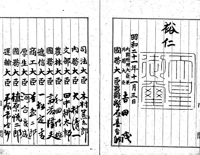
まず、国内法の代表として、国家が守らなければならない最高法規としての憲法があります。開国後の日本では、まず明治22年(1889年)に「大日本帝国憲法」が発布されました。 (1) には、大日本帝国憲法発布の際の明治天皇の署名(「睦仁」と記されています)と印(「天皇御璽」とあります)、さらには各大臣の副署があります。伊藤博文、大隈重信、西郷従道、大山巌といった人々も名を連ねています。
欧米式の憲法には、国民の人権は守られなければならないことと、そのための国家機関の在り方が書かれていますが、大日本帝国憲法では、天皇が国の政治の在り方を決めることとされており、国民の人権は天皇から与えられたものとされていました((2) 大日本帝国憲法前文、1条。)
刑法、民法の制定
-
また、このような憲法のもと、国家が国内の治安を維持し、また犯罪者を更生させるために科す刑罰について、国家が勝手に国民を処罰できないように、何が犯罪になるのかを明確に表した刑法が制定されました。また、刑法で定められた犯罪を捜査したり裁判したりする時も、自白を強要するような捜査があってはいけませんし、裁判でも無罪の可能性があるのに有罪にしてしまうことは許されません。これらを防ぐため、近代国家では刑事訴訟法が制定されました。アジ歴には、明治13年(1880年)に発布された、今の刑事訴訟法の前身にあたる治罪法があります。(6) によれば、その第一編第一条には「公訴は犯罪を証明し刑を適用する事を目的とする者にして法律に定めたる区別に従い検察官之を行ふ」と定められています(原文カナ旧字)。この「公訴」とは、今で言う刑事裁判のことです。
一方、国民が自由に行う経済活動や、家族に関することには国家が介入しないことが望まれます。自由な国民同士の関係を規律することで国民の活動が円滑に進むようにし、また国家の介入を許さないようにすることを目的とした民法も制定されました。民法の制定にあたっては一波乱あったことがよく知られています。当初はフランスの民法を参考にしたボアソナード草案が採用されるはずでしたが、民法の施行によって家制度など日本の伝統的な文化が廃れるという危機感が広がり、結局ボアソナード草案は施行されることなく終わってしまいました。現在の民法は、明治29年(1897年)に公布、翌年に施行されたものですが、(7) がその「民法第一編第二編第三編」の内容です。第一章には「第一条 私権の享受は出生に始まる」と定められています(原文カナ旧字)。また、「第三条」には「満二十年を以って成年とす」と規定されています。
大きな障害となった治外法権
-
ところで、日本が近代的法制度の整備の過程で直面した大きな問題の一つは、「治外法権」でした。治外法権は、そもそも江戸時代の末、日本が開国をして諸外国との交流を進める中で、諸外国との間で取り決められたものでした。その内容とは、例えば、日本に対して治外法権を持つAという国の国民は、たとえ日本にいても日本の法律の適用外と見なされ、日本の政府に税金を払う必要もなければ、日本の裁判所で処罰される事もない特権を持っている、ということです。では、「治外法権」を持っているA国の国民が日本で罪を犯したらどうなるかというと、その人はA国の政府(具体的には日本にいる外国の外交官である領事)に引き渡され、A国の法律と領事の判断に従って有罪か無罪かが決定されます。このように、外国にいる領事が自国民を裁く権限のことを「領事裁判権」と言います。明治になって近代化を推し進める日本政府は、ヨーロッパの近代国家を見習った新しい法体系を設ける一方で、江戸時代に取り決められた外国の特権を交渉を通じて撤廃していきます。
(8) は、明治25年(1892年)7月14日にポルトガルの領事裁判権の廃止が決定された際の明治天皇による御署名原本です。萬延元年(1860年)に江戸幕府が葡萄牙政府(ポルトガル政府)と締結した条約の中の「領事裁判権に関する条款無効の件を裁可し茲(ここ)に之(これ)を公布せしむ」と定めています(原文カナ旧字)。これによって、以降は日本にいるポルトガル人は日本の法律によって裁かれることになりました。
近代国際法と日本
19世紀以後、国際社会の規模が広がるにつれ、一国と一国の間の約束事だけでなく、戦争や平和の際の世界的なルールを設ける必要が生じてきました。そうした約束事やルールの総称が「国際法」ですが、その中には旅行や貿易といった人や物の行き交いに関する決まり事、国と国の間の境目(国境)を明示した決まり事、さらには開戦・終戦の手続きや戦時中の行動を定めた決まり事があります。この決まり事は一般には「条約」と呼ばれます。条約で取り決められた約束に従う国は代表者を送り、その代表者は条約の書かれた正式の書類(条約正文)に署名を行います。これを「調印」と言います。ただし、調印に引き続いて、条約を結んだ国の政府がその署名を承認することで初めて条約は正式に認められます。これを「批准」と言います。
-
条約のさまざまな例を見てみましょう。
(9) は、日本が「大不列顛国」との間に結んだ通商航海条約の条文です。この「大不列顛国」とは「グレートブリテン」、つまり今日のイギリスを指します。この「通商航海条約」とは、その条約を結ぶ国々の間での人や物が往来する際のルールを取り決めたものです。(10) には日本と「大不列顛国」との通商航海条約の「第一條」として「両締盟国の一方の臣民は他の一方の版図内何れの所に到り、旅行し或は住居するも全く随意たるへく而して其の身体及財産に対しては完全なる保護を享受すへし」とあります(原文カナ旧字)。これは、日本人とイギリス人はお互いの国に旅行したり住んだりできます、という意味です。
-
(11) は、明治40年(1907年)にハーグ会議で採択された「開戦に関する条約」全文の和訳文です。この文書には「開戦宣言」(これから戦争を始めますよという通告、いわゆる宣戦布告の事です)の規定が示され、さらに条約に調印した国々の代表者名(一部)が列記されています。日本の代表者も調印したこの条約の第一条には「締結国は理由を付したる開戦宣言の形式又は条件付開戦宣言を含む最後通牒の形式を有する明瞭且事前の通告なくして其の相互間の戦争を開始すへからさることを承認す」と記されています(原文カナ旧字)。(12) には、明治45年(1912年)1月12日付で、この「開戦に関する条約」に明治天皇が批准した際の署名が示されています。日本が真珠湾を攻撃する29年前のことです。
なお宣戦布告の具体例としては、(13) のような、明治37年(1904年)の日露戦争の際に日本がロシアとの戦いを始める事を宣言した天皇の詔勅があります。詔勅とは天皇が自らの意志を表示する際の文書を指します。
国際法と国際情勢
また条約の中には、お互いに平和を守るため努力しよう、あるいは、戦争が起こった時は団結して戦おう、とうたった内容のものもあります。いわゆる「中立条約」「安全保障条約」「同盟条約」と言われるものです。20世紀になって世界各国の利害関係が複雑に絡み合うようになると、多くの国々は、争いではなく話し合いによる条約締結などの手段によって国益を保全しようと試みました。しかし時として条約は、国同士の政治的な駆け引きの中で、破棄されたり解釈が揺らぐ場合も少なくありませんでした。当時は、「戦争は単にひとつの政治的行動であるのみならず、実にまたひとつの政治的手段であり、政治的交渉の継続であり、他の手段による政治的交渉の継続にほかならない」(クラウゼヴィッツ)という考え方が主流だったのです。
-
(14) は、昭和3年(1928年)にフランスのパリで調印された「戦争抛棄ニ関スル条約」こと通称「不戦条約」の和訳文です。この条約は、条約に加盟する国々が「国家の政策の手段としての戦争を放棄する」(第一条)事、「一切の紛争又は紛議は其の性質又は起因の如何を問はず平和的手段に依る」(第二条)事を宣言しています(いずれも原文カナ旧字)。この不戦条約は、第一次世界大戦(1914年~1919年)の後に世界平和の機運が高まる中で締結されたもので、条約を結んだ国は、日本以外にはドイツ、アメリカ、ベルギー、フランス、イギリス、イタリア、ポーランドなどでした。にもかかわらず、この条約が調印された9年後に日中戦争が、そして11年後には第二次世界大戦が始まります。
(15) は、第二次世界大戦中の昭和15年(1940年)、日本がドイツ、イタリアとの間に締結した「日独伊三国同盟条約」を示した文書です。当時のドイツとイタリアは連合国陣営と戦う一方で、ポーランドやベルギーなどヨーロッパ各国を武力で占領していましたが、この同盟条約の前文として「民族の共存共栄の実を挙ぐるに足るべき新秩序を建設し且之を維持せんことを根本義と為し右地域に於て此の趣旨に據れる努力に付相互に提携し且協力する」事が謳われています(原文カナ旧字)。この条約が調印された翌年、ドイツはソビエト連邦(今のロシア)を、日本はアメリカを攻撃しました。
こうした国際情勢については「未熟な思想は目的にとらわれるあまりに理念先行的だが、目的を持たない思想は過去にとらわれる」(E・H・カー)とも解説されますが、以上のような理想と現実のせめぎ合いを通じて、今の私達が知っている国際法が発展していったと言えるでしょう。
- クラウゼヴィッツ、清水多吉訳『戦争論』(上)、中央公論新社、2001年。
- E.H.Carr, Twenty Years' Crisis, 1919-1939, Harpercollins, 1981.


















